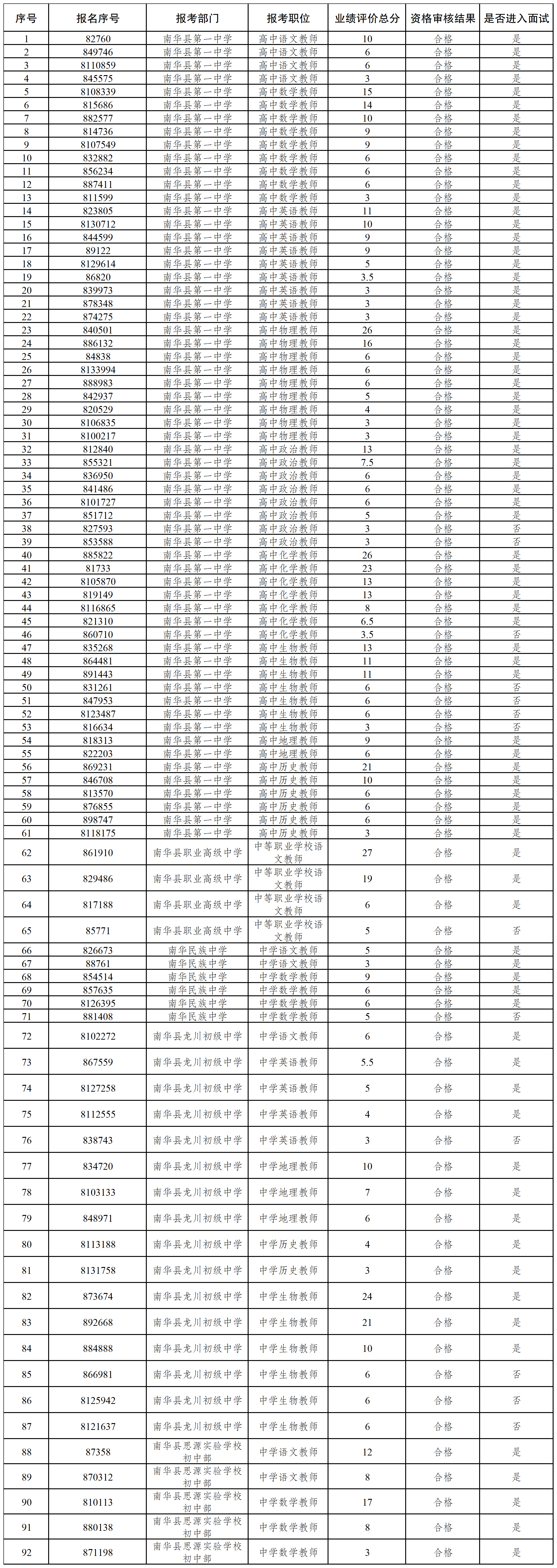
根据《南华县教育系统2025年事业单位校园招聘公告》,现将南华县教育系统2025年事业单位校园招聘资格审查、业绩评价结果及进入面试人员名单予以公示。

面试地点及时间以电话通知为准,进入面试考生请保持电话畅通,并按电话通知要求持本人身份证到西南大学就业中心一楼招聘大厅领取面试通知单,按时参加面试,具体面试的考场安排根据情况另行通知。考生可在自本公告发布之日至3月16日17:00前可致电:0878-7213485(叶老师)咨询。
监督电话:
南华县教育体育局:0878-7213485;
南华县人力资源和社会保障局:0878-7222069;
楚雄州人力资源和社会保障局:0878-3389685。
南华县教育系统2025年事业单位校园招聘工作领导小组
2025年3月15日